欢迎来到初中升学网!
手机版

微信

说明:1 本测试包括学习能力、语言表达能力、分析推理能力、技术技能操作能力四部分内容。2 本测试全部采用标准化试题,每题中都有4个备选

说明:
1.本测试包括学习能力、语言表达能力、分析推理能力、技术技能操作能力四部分内容。
2.本测试全部采用标准化试题,每题中都有4个备选答案,请你选出一个自认为是最佳的答案并填涂在答题卡上,多选、不选或错选均不得分。
3.本测试共30题,每题10分。满分为300分。
4.对口招生《文化基础测试+职业技能测试》考试时间共120分钟。
一、学习能力(本大题共10题,每题满分10分,共100分)
1.友谊的深浅,由下列哪一个成语可以看出情义最为深重?( )
A.莫逆之交 B.金兰之交
C.刎颈之交 D.点头之交
2. 当你计划到一个陌生的城市旅游,你需要提前了解以下哪些基本信息?
A.住宿、教育、气候 B.吃住、交通、景点
C.工业、名人、经济 D.住宿、人口、农业
3.我们都听说过“乌鸦喝水”的故事,瓶子的水少,乌鸦就用旁边随处可见的石子放在瓶子里,最后使自己喝到了水。这说明人们在利用有限的资源取得成功的时候,最重要的要善于
A.依靠外界力量 B.提高工作效率
C.做好思想准备 D.运用方法和工具
4.本题后面列的哪一项应接在“X 0 0 0 0 X X 0 0 0 X X X”的后面。( )
A.X 0 X 0; B.0 0 X; C.0 X X; D.0 0
5.当学习和娱乐发生冲突时,你的选择是
A.马上决定去学习 B.先娱乐然后再学习
C.尽情娱乐忘了学习 D.不情愿地勉强学习
6.下面四种叙述能称为算法的是( )。
A.在家里一般是妈妈做饭
B.做米饭需要刷锅、淘米、添水、加热这些步骤
C.在野外做饭叫野炊
D.做饭必须要有米
7.进入互联网时代,发电子邮件是不可少的,一般而言,发电子邮件包括以下几个步骤:a.打开电子信箱;b.输入发送地址;c.输入主题;d.输入信件内容;e.点击“写邮件”;f.点击“发送邮件”。正确的步骤是( )。
A.a→b→c→d→e→f
B.a→c→d→f→e→b
C.a→e→b→c→d→f
D.b→a→c→d→f→e
8.人讲举一反三、触类旁通,意思是掌握某种知识后,能把这些知识应用于相似的或有联系的工作岗位及工作任务中去,实现学习的迁移。当然,迁移有正迁移和负迁移之分,下面哪些现象不属于正迁移?( )
A.学习钢琴的人再来学习电子琴
B.学习汉语拼音的人再去学习英语
C.学习数学的人再去学习经济学
D.学习英语的人再来学习法语
9.如果两个正整数之积为偶数,则这两个数( )
A.都是偶数
B.一个是奇数,一个是偶数
C.至少一个是偶数
D.恰有一个是偶数
10.对实数a,b定义运算“⊗”为a⊗b=ab.则下列命题中正确命题的个数是( )。
① a⊗b=b⊗a;
② (a⊗b)⊗c=a⊗(b⊗c);
③ a⊗(b+c)=(a⊗b)+(a⊗c),
A.0 B.1 C.2 D.3
二、语言表达能力(本大题共10题,每题满分10分,共100分)下面各题中都有4个备选答案,请你选出一个自认为是最佳的答案并填涂在答题卡上,多选、不选或错选均不得分。
1.在今天的商业世界中,供过于求是普遍现象。为了说服顾客购买自己的产品,大规模竞争就在同类商品的生产企业之间展开了,他们得经常设法向消费者提醒自己产品的名字和优等的质量,这就需要靠广告。
对这段文字概括最恰当的是
A.广告是商业世界的必然产物
B.各商家之间用广告开展竞争
C.广告就是要说服顾客买东西
D.广告是经济活动中供过于求的产物
2.我国有“礼仪之邦”“协和万邦”“德莫大于和”的文化传统,历史上有联欧亚,开辟丝绸之路;郑和下西洋;历万难,玄奘印度取经;为传经,鉴真东渡扶桑等友好交往的典型事例。这些都反映了中华民族的( )。
A.勤劳勇敢精神 B.热爱和平精神
C.团结统一精神 D.自强不息精神
3.牛的可贵之处,即在活着的时候,就不知疲倦地供人役使,死后则把全身献给社会。牛对于社会真是“鞠躬尽瘁,死而后已”。这段话支持了这样一种观点。( )
A.牛是不知疲倦的动物
B.牛是农民的宝贝
C.牛是社会的财富
D. 牛是奉献精神的象征
4.您是来参加今天会议的吗?您来早了一点儿,现在才八点半。您先进来坐吧。
会议最可能几点开始?( )
A.9点半 B.8点半 C.9点 D.10点
5.某商场一年中各月份的收入、支出情况的统计如图所示,下列说法中错误的是( )。

A.2至3月份的收入的变化率与11至12月份的收入的变化率相同
B.支出最高值与支出最低值的比是6:1
C.利润最高的月份是2月份
D.第三季度平均收入为50万元
6.……
7.……
8.……
9.……
10.……
三、分析推理能力(本大题共5题,每题满分10分,共50分)
1.给出一对相关的词“书籍:知识”。从以下备选答案中找出一对与之在逻辑关系上较为贴近的词( )。
A.运动:健康 B.战争:和平
C.公平:合理 D.青春:美丽
2.商场有一个活动,先旋转转盘指针。如果指针停在奇数的位置,玩家就可以从袋子抽出一个弹珠。转盘和袋子里的弹珠如下图所示,如果抽到黑色的弹珠就能得到奖品,小明试了一次,请问他得到奖品的可能性为何?

A.不可能 B. 不太可能
C.非常可能 D.—定可以
3.有五个学生:甲、乙、丙、丁、戊,他们的学习成绩的关系为:丙没有丁好,甲没有乙好,戊好于丁,而乙不如丙好。请问五位学生成绩从高到低排序是( )。
A.甲乙丙丁戊
B.乙戊丁丙甲
C.丁丙乙甲戊
D.戊丁丙乙甲
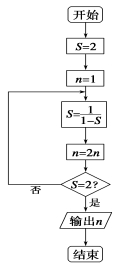
4.阅读如图所示的程序框图,运行相应的程序,输出的结果是( )。

A.2 B.4 C.8 D.16
5.如果生物要生存,就需要进行呼吸运动;乳酸菌是一种生物,可以在无氧条
件下生存。根据以上描述,可以推断( )。
A.有的生物在无氧条件下可以进行呼吸运动
B.乳酸菌是一种不需要呼吸的生物
C.乳酸菌在无氧条件下不能呼吸
D.能在无氧条件下生存的生物为数不多
四、技术技能操作能力(本大题共15题,请选择其中5题进行作答,每题满分10分,共50分)
1.下列常用电工工具中,不具有绝缘套管的是( )。
A.钢丝钳 B.尖嘴钳 C.剥线钳 D.活络扳手
2.正确使用验电笔的方法是( )

3.根据立体图绘制主视图,箭头指向为主视方向,下图中正确的是( )。


4.用砂轮机磨削工件时,应在砂轮机转速( )后进行。
A.加速 B.减速 C.停止 D.正常
5.使用锉刀时不能( )。
A.推锉 B.来回锉 C.单手锉 D.双手锉
6.要求两轴中心距较大,且为低速、重载和高温等场合下工作,宜选用( )。
A.带传动 B.链传动 C.螺旋传动 D.齿轮传动
7.可避免引起机械伤害的做法是( )。
A.转动部位停稳前操作 B.跨越运转的机轴
C.旋转物件上不得放置物品 D.旋转部件上可放少量工具
8.用扳手转动螺栓时,顺时针为( ),逆时针为( )。
A.拧松 拧紧 B.拧紧 拧松 C.拧松 拧松 D.以上都不正确
9.在数字电路中,或逻辑运算,1+1=( )。
A. 0 B. 1 C. 2 D. 10
10.叉车载货下坡时应( )。
A.倒车行驶 B.加速行驶 C.正常行驶 D.减速行驶
11.出纳人员根据审核无误的原始凭证(价值50元),在办理付款业务时,应在付款原始凭证上签字并加盖( )章。
A.现金收讫 B.现金付讫 C.银行收讫 D.银行讨讫
12.一些B2B网站的后台都设有新闻发布功能,便于优化人员在商铺中发布企业或产品新闻。这属于软文传播路径中纵向传播的哪一种( )。
A.内页路径 B.论坛路径 C.软文路径 D.商铺路径
13.物流派件时客户未签字,快递员回到营业网点后( )代替客户签字。
A.必须 B.一般可以 C.有时不可以 D.不可以
14.餐饮服务中,为客人撤下筷套时,以下行为正确的是( )。
A.无需为客人撤筷套 B.直接上前为客人撤筷套
C.用手势或语言提醒客人 D.请客人把筷套递给自己
15.洗手时保育员为幼儿卷袖不当、用力过猛容易造成关节( )。
A.骨折 B.紧张 C.脱臼 D.松弛
本文标题:2024年广西高职院校分类考试招生联合测试对口招生考试职业技能测试试题(样题)
本文链接:https://www.itoma.cn/danzhao/show-htm-itemid-24516.html
2026浙江高职提前招生常见问题问答03-05
2026福建高职单招(高职分类考试)常见问题问答03-05
高职单招单招报考 更多>