欢迎来到初中升学网!
手机版

微信

广东中考为大家带来2024年湛江中考录取控制分数线的详细讲解,希望能帮助大家顺利备考哦。预祝大家考试成功哦。
广东中考为大家带来2024年湛江中考录取控制分数线的详细讲解,希望能帮助大家顺利备考哦。预祝大家考试成功哦。

新发布!2024年湛江中考录取控制分数线
今年我市高中阶段学校最低录取控制分数线已经划定,现予以公布,具体如下:
1、普通高中最低录取控制分数线
(一)统招生最低录取控制分数线
第一批普通高中学校:470分。
第二批普通高中学校:370分。
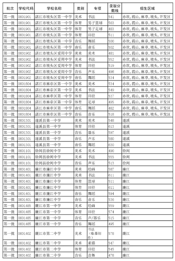
各普通高中学校统招生录取分数线详见附件1。
(二)指标生最低录取控制分数线
公办国家级示范性和省一级普通高中学校指标生最低录取控制分数线为470分。
(三)特长生最低录取控制分数线
第一批普通高中学校:中考总分423分,术科65分。
第二批普通高中学校:中考总分333分,术科50分。
特长生录取分数线按考生中考成绩、术科成绩合成的总分(计算公式为:考生中考总分=中考成绩×40%+术科成绩×7.6×60%)从高到低、依照志愿顺序进行划定。各普通高中学校特长生录取分数线详见附件2。
被授予国家二级及以上运动员技术等级称号的体育特长生、备战广东省第十四届中学生运动会等省级以上比赛布点项目学校运动队学生,由招生学校按程序上报有关证明材料单独录取。
2、高职院校五年一贯制
公费定向单独招生分数线
湛江幼儿师范专科学校公费定向单独招生的学前教育专业面试合格的考生,录取分数线633分。
3、中等职业学校最低录取控制分数线
中等职业学校(含技工院校)的最低录取控制分数线由各学校根据本校生源情况自行确定。
4、录取结果查询
考生可通过“湛江教育”微信公众号、湛江市招生考试网查询录取结果。
(一)查询开始时间:2024年7月22日23时。
湛江市招生考试网查询
进入网站首页(http://zk.jyj.zhanjiang.gov.cn/),输入准考证号、姓名及验证码查询。









以上就是有关2024年湛江中考录取控制分数线的内容。更多广东中职中专技工招生信息、广东中职学校,广东职高学校,敬请关注广东初中升学网,也可以点击【预约中职院校】提前看校,快人一步!
本文标题:新发布!2024年湛江中考录取控制分数线
本文链接:https://www.itoma.cn/news/show-htm-itemid-23054.html
河北为什么有越来越多的普高生选择通过高职单招考大学?11-06
教师岗饱和只招本科及以上?2026河北单招教育类还能选吗?11-06
初中资讯政策解读 更多>