欢迎来到初中升学网!
手机版

微信

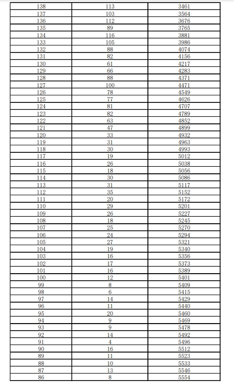
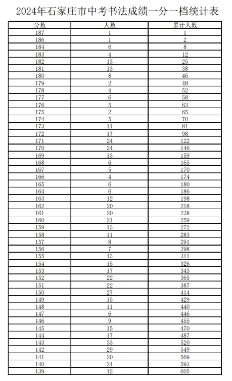
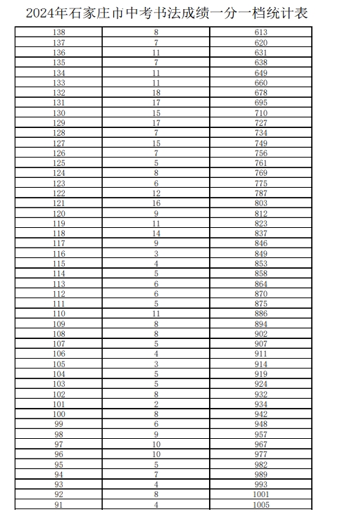
石家庄市2024年美术、音乐、书法联考成绩一分一档表已公布,已经参加了石家庄市2024年美术、音乐、书法联考的考生,一起来和石家庄初中升学
石家庄市2024年美术、音乐、书法联考成绩一分一档表已公布,已经参加了石家庄市2024年美术、音乐、书法联考的考生,一起来和石家庄初中升学网了解一下吧!
石家庄市2024年美术、音乐、书法联考成绩一分一档表具体如下:








以上是“石家庄市2024年美术、音乐、书法联考成绩一分一档表公布!”的相关内容,关注石家庄初中升学网,了解更多石家庄中考、中专升学、中职升学、升学择校、招生简章、招生政策、中考中招、中考政策等信息!
本文标题:速看!石家庄市2024年美术、音乐、书法联考成绩一分一档表公布!
本文链接:https://www.itoma.cn/news/show-htm-itemid-21372.html
2026浙江高职提前招生常见问题问答03-05
2026福建高职单招(高职分类考试)常见问题问答03-05
初中资讯新闻资讯 更多>