欢迎来到初中升学网!
手机版

微信

2025年河北省初中学业水平考试《数学》样卷发布后,根据第一时间对比分析,总结各科试卷结构对比变化,现总结给大家,为师生提供教学及学习帮助!
2025年河北省初中学业水平考试《数学》样卷发布后,根据第一时间对比分析,总结各科试卷结构对比变化,现总结给大家,为师生提供教学及学习帮助!(本变化分析为2025年中考《数学》样卷与2024中考《数学》真题对比。)

数学
样卷与2024中考试卷相比总分值、考试时长均无变化,各题型的题量、分值上作出了调整;新增知识点包含一元二次方程根与系数的关系(2022年版课标调整内容)、平行四边形的折叠问题,新增考法包含分式化简和解分式方程体现过程性运算、三角形动线问题与尺规作图融合。
一、结构及内容具体分析:
①与 2023 年 11月份河北省教育考试院发布的《河北省初中学业水平考试试卷结构(2023 年发布)》中的总分值、时间一致;
②与 2024 年中考试卷相比,选择题减少4道,填空题增加1道,解答题增加1道,整卷题型题量结构为:12+4+8。

二、样卷试题分析
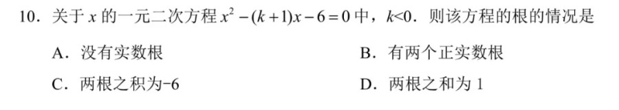
2025年河北省初中学业水平考试样卷中有原创题18道,其余6道试题来源于山东、山西、河南、河北地市模拟题改编,试题的考查知识点和考法借鉴了河北省往年中考试题,第10题新增考查一元二次方程根与系数的关系(2022 年版课标调整为考查内容)。
具体分析如下:

2.新增知识点
(1)第10题新增考查一元二次方程根与系数关系(2022年版课标调整为考查内容);

(2)第12题新增考查平行四边形的折叠问题。

3.新增考法
(1)第18题考查分式化简和解分式方程体现过程性运算:

(2)第24题考查三角形的动线问题,融合尺规作图。

本文标题:最新!2025年河北省中考《数学》样卷全科变化分析!
本文链接:https://www.itoma.cn/zkbb/show-htm-itemid-34762.html
2026年雄安新区中考体育项目确定02-09
2026辛集市中考体育项目确定02-09
中考必备中考试题 更多>